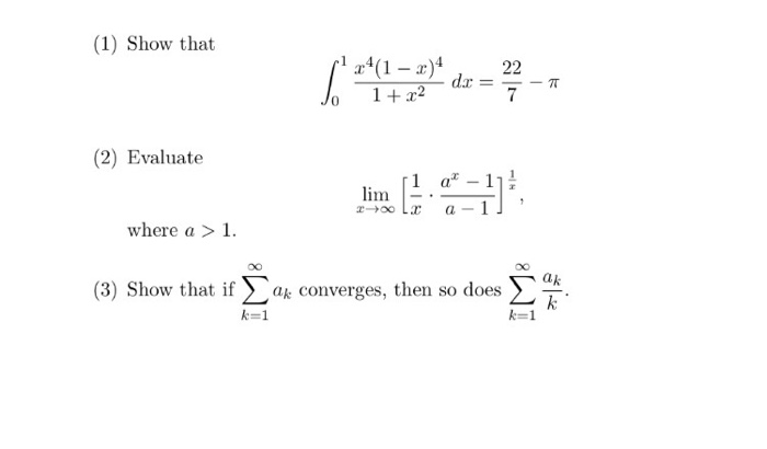
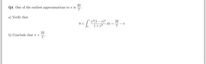
227 Pi
Get 227 pi Free HD - Find your perfect HD wallpaper for your phone, desktop, website or more! - Free download - High-quality wallpapers - Advanced filters for searching. Today i will share 227 pi wallpaper. The best creative wallpapers are not cheap photos, but are works of art in their own right. Wallpapers can be creative, inspiring, gorgeous.
I just want to compare the 2 numbers.
The group was named it to represent the infinite possibilities and opportunities that could happen to the group.
Get 227 pi For Android Free
227 pi. Its just a rational number that is close enough to pi to be useful. 22 7 is a widely used diophantine approximation of pit is a convergent in the simple continued fraction expansion of pit is greater than p as can be readily seen in the decimal expansions of these values. We are going to take the multiples of 3 3 6 9 15 18 21 24 27 and now lets a. 227 twenty two sevenths is a rational number that is an approximation of p pi a number that goes on for infinity.
227 3142857 while pi 3141592 it is obvious taht these two numbers are very close each other. In fact p is not equal to the ratio of any two numbers which makes it an irrational number. The rational number 227 has nothing to do with the number pi as pi is defined on a pure geometric ground as mentioned by all the others as the ratio between the perimeter of a circle in the euclidean plane and its diameter. Archimedes wrote the first known proof that 22 7 is an overestimate in the 3rd century bce although he may.
1 million digits of pi the first 10 digits of pi p are 31415926535. Then recite as many digits as you can in our quiz. Or simply learn about pi heremaximize the fun you can have this pi day by checking out our pi day stuff pi day deals and pi day celebrations. Pi day in 2015 was particularly significant because the date and time 31415 92653 reflected many more digits of pi.
Ratio is 10004 which is very close dont you think. Because pi is irrational not equal to the ratio of any two whole numbers its digits do not repeat and an approximation such as 314 or 227 is often used for everyday calculations. A quick and easy approximation for p is 227. A really good approximation better than 1 part in 10 million is.
The given radius is a mixed number. By definition a r. But as you can see 227 is not exactly right. Watch this tutorial and learn or review how to find the circumference of a circle using 227 for pi.
For kicks take your calculator and find the ratio of this approximation to pi. The first million digits of pi p are below got a good memory. Why not calculate the circumference of a circle using pi here. The approximation has been known since antiquity.






















/__opt__aboutcom__coeus__resources__content_migration__mnn__images__2014__03__pi-facts-84778605637942c6bd53a74f9242d7ef.jpg)

















































